Fortran语言设计切比雪夫滤波器的特性分析
- 时间:2015年04月02日 15:36:12 来源:魔法猪系统重装大师官网 人气:14617
一、实验背景
数字滤波器是DSP中非常重要的组成部分。滤波器有两种用途:分离混合的信号,复原失真的信号。在基频分析器中,伴奏是对人声的一种噪音干扰,因此需要尽可能减少噪音的影响。由于人的音高在300Hz~2000Hz之间,因此可以构造一个带通滤波器去除这个频段以外的信号。在常见的滤波器中,由于切比雪夫滤波器运算性能较好,且工作在频域上,因此最适合应用在基频分析器中。
二、实验目的
分析切比雪夫滤波器的特性,并完成切比雪夫系数的设计。
三、实验环境和工具
实验平台:Windows
开发语言:Fortran
四、常见滤波器的分类和切比雪夫滤波器的选择
根据应用场合和实现方式,常见滤波器可以如表1所示来进行分类:
| 卷积 |
递归 | |
| 时域 |
移动平均滤波器 |
单极点滤波器 |
| 频域 |
加窗sinc滤波器 |
切比雪夫滤波器 |
| 任意频响 |
FIR任意频响滤波器 |
迭代设计滤波器 |
表1 常见滤波器的分类
根据表1,由于基频的分析提取是工作在频域上的,因此滤波器主要在加窗sinc滤波器和切比雪夫滤波器两者间进行选择。根据系统的需求,为了实现快速获取基频分析结果,选择的标准主要取决于两者在速度上的优劣。
对加窗sinc和切比雪夫滤波器的速度的比较,即是对卷积滤波器(FIR)和递归滤波器(IIR)的比较。图1的曲线展示了加窗sinc滤波器和等效的6极点递归滤波器的相应执行时间。其中,标准卷积和快速傅里叶卷积是两种算法下构造的加窗sinc滤波器。加窗sinc滤波器的运行时间在低频和高频段上升,这是因为为了跟上递归滤波器在这些效率上更好的性能,必须增加滤波器内核的长度。总的来说,IIR滤波器要比相应的FIR滤波器快1个数量级。

图1 FIR滤波器和IIR滤波器的速度对比
五、切比雪夫滤波器的特性分析
切比雪夫滤波器(又译车比雪夫滤波器)是在通带或阻带上频率响应幅度等波纹波动的滤波器。在通带波动的为“I型切比雪夫滤波器”,在阻带波动的为“II型切比雪夫滤波器”。
1. 切比雪夫的频率响应特性
切比雪夫的频率响应如图2所示:

(a) 低通频率响应

(b) 低通频率响应(dB)

(c) 高通频率响应

(d) 高通频率响应(dB)
图2 切比雪夫频率响应
如图1所示,图a和图b是0.5%纹波的低通切比雪夫滤波器的频率响应,图c和图d是相应的高通滤波器的响应。
2. 阶跃响应的过冲
切比雪夫滤波器的阶跃响应有5%~30%的过冲,且随着极点数的增加而增大。图3是切比雪夫滤波器阶跃响应的两个例子。

图3 切比雪夫阶跃响应
3. 稳定性
递归滤波器运行很快,但在性能上受限。如果是低通高通滤波器,极点实际的数量将略微取决于纹波。单精度的近似数字如表2所示。
| 截止效率 |
0.02 |
0.05 |
0.10 |
0.25 |
0.40 |
045 |
0.48 |
| 最大极点数 |
4 |
6 |
10 |
20 |
10 |
6 |
4 |
当接近这一极限时,滤波器的性能将变差。阶跃响应将出现更大的过冲,阻带衰减将变差,频率响应将出现过多纹波。如果滤波器的设计指针太高,或系数中出现了错误,输出可能振荡直至有溢出发生。
为了增加极点的最大数目,以提高运算结果的准确性,可以采用分阶段实现滤波器,在本系统的基频分析模块中,我们将滤波器分为9级。如果每一级产生n个极点,则该滤波器将会产生9*n个极点的滤波器。
六、 切比雪夫滤波器的设计
递归滤波器是由差分方程描述的。
(1)
其中,x[]和y[]分别是输入和输出信号,a和b是递归系数。可以写成下面的形式:
(2)
滤波器的设计关键就在于a和b系数的获取。
递归系数可以使用下面的Fortran程序来获得:
1: 100 'CHEBYSHEV FILTER- RECURSION COEFFICIENT CALCULATION
2:
3: 110 '
4:
5: 120 'INITIALIZE VARIABLES
6:
7: 130 DIM A[22] 'holds the "a" coefficients upon program completion
8:
9: 140 DIM B[22] 'holds the "b" coefficients upon program completion
10:
11: 150 DIM TA[22] 'internal use for combining stages
12:
13: 160 DIM TB[22] 'internal use for combining stages
14:
15: 170 '
16:
17: 180 FOR I% = 0 TO 22
18:
19: 190 A[I%] = 0
20:
21: 200 B[I%] = 0
22:
23: 210 NEXT I%
24:
25: 220 '
26:
27: 230 A[2] = 1
28:
29: 240 B[2] = 1
30:
31: 250 PI = 3.14159265
32:
33: 260 'ENTER THE FOUR FILTER PARAMETERS
34:
35: 270 INPUT "Enter cutoff frequency (0 to .5): ", FC
36:
37: 280 INPUT "Enter 0 for LP, 1 for HP filter: ", LH
38:
39: 290 INPUT "Enter percent ripple (0 to 29): ", PR
40:
41: 300 INPUT "Enter number of poles (2,4,...20): ", NP
42:
43: 310 '
44:
45: 320 FOR P% = 1 TO NP/2 'LOOP FOR EACH POLE-PAIR
46:
47: 330 '
48:
49: 340 GOSUB 1000 'The subroutine in TABLE 20-5
50:
51: 350 '
52:
53: 360 FOR I% = 0 TO 22 'Add coefficients to the cascade
54:
55: 370 TA[I%] = A[I%]
56:
57: 380 TB[I%] = B[I%]
58:
59: 390 NEXT I%
60:
61: 400 '
62:
63: 410 FOR I% = 2 TO 22
64:
65: 420 A[I%] = A0*TA[I%] + A1*TA[I%-1] + A2*TA[I%-2]
66:
67: 430 B[I%] = TB[I%] - B1*TB[I%-1] - B2*TB[I%-2]
68:
69: 440 NEXT I%
70:
71: 450 '
72:
73: 460 NEXT P%
74:
75: 470 '
76:
77: 480 B[2] = 0 'Finish combining coefficients
78:
79: 490 FOR I% = 0 TO 20
80:
81: 500 A[I%] = A[I%+2]
82:
83: 510 B[I%] = -B[I%+2]
84:
85: 520 NEXT I%
86:
87: 530 '
88:
89: 540 SA = 0 'NORMALIZE THE GAIN
90:
91: 550 SB = 0
92:
93: 560 FOR I% = 0 TO 20
94:
95: 570 IF LH = 0 THEN SA = SA + A[I%]
96:
97: 580 IF LH = 0 THEN SB = SB + B[I%]
98:
99: 590 IF LH = 1 THEN SA = SA + A[I%] * (-1)^I%
100:
101: 600 IF LH = 1 THEN SB = SB + B[I%] * (-1)^I%
102:
103: 610 NEXT I%
104:
105: 620 '
106:
107: 630 GAIN = SA / (1 - SB)
108:
109: 640 '
110:
111: 650 FOR I% = 0 TO 20
112:
113: 660 A[I%] = A[I%] / GAIN
114:
115: 670 NEXT I%
116:
117: 680 ' 'The final recursion coefficients are in A[ ] and B[ ]
118:
119: 690 END
第270~300行,4个参数被输入到程序中。截止频率FC,被表达为抽样频率的分数形式,因此必须在0到0.5的范围内。变量LH,设置为1时对应高通滤波器,设置为0时对应低通滤波器。变量PR的输入值要在0到29之间,表示滤波器频率响应的纹波在0%到29%之间。滤波器的极点数通过变量NP输入,且必须是2到20见的一个偶数。程序运行完成时,a和b系数存放在数组A[]和B[]中(a0 = A[0],a[1] = A[1],等等)。
上面的程序只能用于获取高通或低通滤波器的系数,对于带通滤波器,则需要再进一步进行构造。在DSP系统中,带通滤波器可通过低通滤波器和高通滤波器级联而形成,如图4所示。

图4 级联构成的带通滤波器
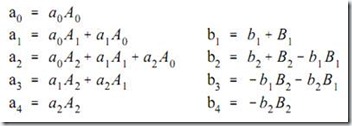
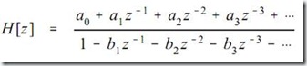
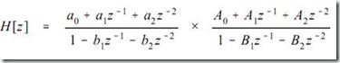
图4所示的带通滤波器由一个低通滤波器和一个高通滤波器串联而成。设两个滤波器的系数分别为a0、a1、a2、b1、b2和A0、A1、A2、B1、B2,则整个系统的传递函数H[z]由两级传递函数相乘得到
(3)
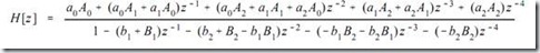
进行多项式相乘和合并同类项后得到下面的形式
(4)
公式(4)符合公式(2)的形式,因此我们可以直接提取实现串联系统的递归系数

上面的计算过程可以交由计算机程序来实现。如下所示:
1: 100 'COMBINING RECURSION COEFFICIENTS OF CASCADE AND PARALLEL STAGES
2:
3: 110 '
4:
5: 120 ' 'INITIALIZE VARIABLES
6:
7: 130 DIM A1[8], B1[8] 'a and b coefficients for system 1, one of the stages
8:
9: 140 DIM A2[8], B2[8] 'a and b coefficients for system 2, one of the stages
10:
11: 150 DIM A3[16], B3[16] 'a and b coefficients for system 3, the combined system
12:
13: 160 '
14:
15: 170 'Indicate cascade or parallel combination
16:
17: 180 INPUT "Enter 0 for cascade, 1 for parallel: ", CP%
18:
19: 190 '
20:
21: 200 GOSUB XXXX 'Mythical subroutine to load: A1[ ], B1[ ], A2[ ], B2[ ]
22:
23: 210 '
24:
25: 220 FOR I% = 0 TO 8 'Convert the recursion coefficients into transfer functions
26:
27: 230 B2[I%] = -B2[I%]
28:
29: 240 B1[I%] = -B1[I%]
30:
31: 250 NEXT I%
32:
33: 260 B1[0] = 1
34:
35: 270 B2[0] = 1
36:
37: 280 '
38:
39: 290 FOR I% = 0 TO 16 'Multiply the polynomials by convolving
40:
41: 300 A3[I%] = 0
42:
43: 310 B3[I%] = 0
44:
45: 320 FOR J% = 0 TO 8
46:
47: 330 IF I%-J% < 0 OR I%-J% > 8 THEN GOTO 370
48:
49: 340 IF CP% = 0 THEN A3[I%] = A3[I%] + A1[J%] * A2[I%-J%]
50:
51: 350 IF CP% = 1 THEN A3[I%] = A3[I%] + A1[J%] * B2[I%-J%] + A2[J%] * B1[I%-J%]
52:
53: 360 B3[I%] = B3[I%] + B1[J%] * B2[I%-J%]
54:
55: 370 NEXT J%
56:
57: 380 NEXT I%
58:
59: 390 '
60:
61: 400 FOR I% = 0 TO 16 'Convert the transfer function into recursion coefficients.
62:
63: 410 B3[I%] = -B3[I%]
64:
65: 420 NEXT I%
66:
67: 430 B3[0] = 0
68:
69: 440 ' 'The recursion coefficients of the combined system now
70:
71: 450 END 'reside in A3[ ] & B3[ ]
在本系统中,选用44100的采样频率,高通频率为30Hz,低通频率为2Khz,为了获得更快滚降特性,选用4%的纹波。使用上面的程序获得a、b系数如下:
| A |
B | |
| 0 |
9.684457e-07 |
0 |
| 1 |
6.779120e-06 |
-7.616874e+00 |
| 2 |
1.936891e-05 |
2.634041e+01 |
| 3 |
2.711648e-05 |
-5.424242e+01 |
| 4 |
1.355824e-05 |
7.325881e+01 |
| 5 |
-1.355824e-05 |
-6.726091e+01 |
| 6 |
-2.711648e-05 |
4.196424e+01 |
| 7 |
-1.936891e-05 |
-1.715111e+01 |
| 8 |
-6.779120e-06 |
4.166027e+00 |
| 9 |
-9.684457e-07 |
-4.581673e-01 |
七、实验总结
通过本实验,我们深入了解了切比雪夫滤波器的特性,并成功构造了一个4%纹波的切比雪夫带通滤波器,以提高基频提取结果的正确性。
出处:http://www.cnblogs.com/weizhoupan/archive/2011/03/26/1996500.html





